一、VOCs
VOCs(Volatile organic compounds),即挥发性有机物。指的是大气环境下,沸点在50-260℃的有机化合物的总称,工业产生的VOCs种类大概有300多种,排放量较大的约有100多种。VOCs中碳化合物能与大气产生光化学反应,生成臭氧形成光化学烟雾。

具体的成分有,苯、甲苯、二甲苯、苯乙烯、己烷、环己烷、丙酮、乙酸乙酯等。

二、沸石转轮
沸石分子筛转轮分为吸附区、脱附区和冷却区三个功能区域,各区域由耐热、耐溶剂的密封材料分隔开来,沸石分子筛转轮在各个功能区域内连续运转。如下图所示:

当废气由吸附风机通过前置的过滤器送至沸石分子筛转轮的吸附区,在吸附区沸石转轮将有机废气中VOCs通过沸石分子筛吸附除去,VOCs被净化后经过沸石分子筛转轮从烟囱直接排出。转轮在转动过程中吸附在分子筛转轮中的VOCs到达脱附区后,在一定温度条件下经过小风量的热风处理而被脱附、浓缩,浓缩倍数一般为5-40倍。
浓缩倍数N=S1V1/(S2V2)
(此外浓缩倍数 = 吸附气量×处理效率/脱附气量 = 脱附气体浓度/原气体浓度)
其中S1为沸石转轮吸附区面积,m2,S2为沸石转轮脱附区面积,m2;
V1沸石转轮吸附速度,V2为沸石转轮脱附速度;
S1/S2 = 10(吸附区面积:脱附区面积:冷却区面积=10:1:1)
V1/V2 = 0.5-2.5
V1:V2的取值越高,浓缩倍数越高,后续燃烧装置正常运行天然气消耗越低,当高于燃烧系统自供热平衡点浓度时,不再消耗天然气,并产生多余热量可供其它工序加热使用。再生后的沸石分子筛转轮在冷却区被冷却,转轮转到吸附区域后,吸附-脱附-冷却这一循环结束。
一般沸石的使用周期在5年左右。沸石脱附温度在180-200℃,一般不超过220℃。
转轮转速n=60/(tA+tB+tC),其中分别tA、tB、tC为吸附、脱附、冷却所用时间。一般情况下转轮转速在2-5r/h。
沸石堆密度约在800kg/m3。
三、沸石转轮的作用
(1)净化作用,废气通过沸石转轮内部,VOCs成分被沸石吸附,净化后的洁净气体进行直接排放。
(2)吸附压缩,VOCs成分被沸石吸附后进入脱附区,VOCs从沸石上脱附,形成高浓度的小风量废气,实现废气的浓缩目的。
(3)连续运转,吸附后的沸石进入冷却区,经常温空气冷却后再次吸附进入浓缩区,实现连续运转。
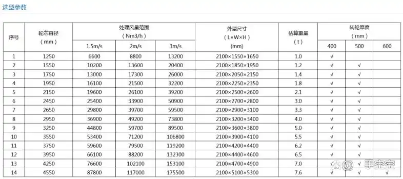
四、沸石转轮选型参数
https://baijiahao.baidu.com/s?id=1735686167038399033&wfr=spider&for=pc